Skip to content Skip to sidebar Skip to footer

Digital Control System Analysis And Design Solution Manual

Digital Control System Analysis And Design 4th Edition Phillips Solutions Manual By Qdqd111 Issuu

Digital Control System Analysis And Design 4th Edition Phillips Solutions Manual By Qdqd111 Issuu

Digital control system analysis and design solution manual. Solutions manual for digital control system analysis and design 4th edition by phillips ibsn 9780132. This is the Solutions Manual Digital Control System Analysis Design 4E Charles L. Phillips Troy Nagle Aranya Chakrabortty Instant.

A Solution Manual is step by step solutions of end of chapter questions in the text book. If you want the Test Bank please search on the search box. Instructors Solutions Manual - Digital Control System Analysis Design 4th Edition Charles L.

Download Free Digital Control System Analysis Design Solution Manual topics such as digital control systems adaptive and robust control and nonlinear control systems. Solution Manual for Digital Control Engineering Analysis and Design 2nd Edition M. Digital Control System Analysis and Design Digital Control Engineering - Analysis and Design Digital controllers are part of nearly all modern personal industrial and transportation systems.

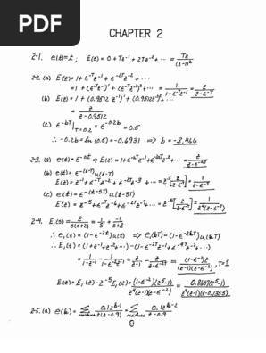
P22-1 a and the right-side rule is depicted in Fig. Pages cm Includes bibliographical references and index. ISBN 978-0-12-394391-0 hardback 1.

And Design 3rd Ed Charles L Phillips H Troy Nagle Ra Solution Manual Digital. Digital Control System Analysis and Design 4th Edition Phillips Solutions Manual - Test bank Solutions manual exam bank quiz bank answer key for textbook download instantly. DIGITAL CONTROL SYSTEM ANALYSIS AND DESIGN SOLUTION MANUAL Download file read online engineering fields make this volumeaccessible to students and indispensable for professionalengineers.

This is just one of the. You are buying Solution Manual. Digital Control System Analysis and Design 4th Edition Phillips SOLUTIONS MANUAL Full download.

- edition-phillips-solutions-manual CHAPTER 2 22-1. TJ223M53F33 2013 629809dc23 2012021488 British Library Cataloguing-in-Publication Data.

Solution Digital Control System Analysis And Design 3e Charles Philips Troy Nagle Controle Ii

Solution Digital Control System Analysis And Design 3e Charles Philips Troy Nagle Controle Ii

Solutions Manual Digital Control System Analysis Design 4th Edition Charles L Phillips Troy Nagle Aranya Chakrabortty Pdf Document

Solutions Manual Digital Control System Analysis Design 4th Edition Charles L Phillips Troy Nagle Aranya Chakrabortty Pdf Document

Solutions Manual Digital Control System Analysis Design 4th Edition Charles L Phillips Troy Nagle Aranya Chakrabortty Pdf Document

Solutions Manual Digital Control System Analysis Design 4th Edition Charles L Phillips Troy Nagle Aranya Chakrabortty Pdf Document

Pdf Solution Manual For Digital Control System Analysis And Design 4th Edition By Phillips Pdf Xfkezs Khveew Academia Edu

Pdf Solution Manual For Digital Control System Analysis And Design 4th Edition By Phillips Pdf Xfkezs Khveew Academia Edu

Solutions Manual Digital Control System Analysis Design 4th Edition Charles L Phillips Troy Nagle Aranya Chakrabortty Pdf Document

Solutions Manual Digital Control System Analysis Design 4th Edition Charles L Phillips Troy Nagle Aranya Chakrabortty Pdf Document

Solution Digital Control System Analysis And Design 3e Charles Philips Troy Nagle Pdf

Solution Digital Control System Analysis And Design 3e Charles Philips Troy Nagle Pdf

Solutions Manual For Digital Control System Analysis And Design 4th Edition By Phillips Ibsn 9780132 By London111 Issuu

Solutions Manual For Digital Control System Analysis And Design 4th Edition By Phillips Ibsn 9780132 By London111 Issuu

Solutions Manual Digital Control System Analysis Design 4th Edition Charles L Phillips Troy Nagle Aranya Chakrabortty Pdf Document

Solutions Manual Digital Control System Analysis Design 4th Edition Charles L Phillips Troy Nagle Aranya Chakrabortty Pdf Document

Digital Control System Analysis And Design 3rd Edition Solution Manual Captions Beautiful

Digital Control System Analysis And Design 3rd Edition Solution Manual Captions Beautiful

Digital Control System Analysis Design Rent 9780132938310 Chegg Com

Digital Control System Analysis Design Rent 9780132938310 Chegg Com

Digital Control System Analysis And Design 3rd Edition Solution Manual Captions Beautiful

Digital Control System Analysis And Design 3rd Edition Solution Manual Captions Beautiful

Digitalcontrolsystemanalysisanddesign4theditionphillipssolutionsmanual 180102052843 Pdf Digital Control System Analysis And Design 4th Edition Course Hero

Digitalcontrolsystemanalysisanddesign4theditionphillipssolutionsmanual 180102052843 Pdf Digital Control System Analysis And Design 4th Edition Course Hero

Digital Control System Analysis Design 4th Edition Textbook Solutions Chegg Com

Digital Control System Analysis Design 4th Edition Textbook Solutions Chegg Com

Solution For Digital Control System Analysis And Design 4th Edition By Phillps Pnxk38em714v

Solution For Digital Control System Analysis And Design 4th Edition By Phillps Pnxk38em714v

Chapter 3 4 Solutions Digital Control System Analysis Design 4th Edition Chegg Com

Chapter 3 4 Solutions Digital Control System Analysis Design 4th Edition Chegg Com

Ebook Digital Control System Analysis Design Solution Manual 3rd Ebook Library

Ebook Digital Control System Analysis Design Solution Manual 3rd Ebook Library

Digital Control System Analysis And Design 3e Charles Philips Troy Nagle Controle Digital

Digital Control System Analysis And Design 3e Charles Philips Troy Nagle Controle Digital

Design A Solution Example

Design A Solution Example

Digital Control System Design Mimbarschool Com Ng

Digital Control System Design Mimbarschool Com Ng

Digital Control System Analysis And Design 4th Edition Phillips Solutions Manual Quarkhome

Digital Control System Analysis And Design 4th Edition Phillips Solutions Manual Quarkhome

Chapter 3 4 Solutions Digital Control System Analysis Design 4th Edition Chegg Com

Chapter 3 4 Solutions Digital Control System Analysis Design 4th Edition Chegg Com

Download Pdf 836312 Digital Control Engineering 2nd Edition Fadali Solution Manual Doc254405506 Yl4zeyw558qr

Download Pdf 836312 Digital Control Engineering 2nd Edition Fadali Solution Manual Doc254405506 Yl4zeyw558qr

Digital Control System Analysis Design 4th Edition Textbook Solutions Chegg Com

Digital Control System Analysis Design 4th Edition Textbook Solutions Chegg Com

836312 Digital Control Engineering 2nd Edition Fadali Solution Manual Doc254405506 Yl4zeyw558qr

836312 Digital Control Engineering 2nd Edition Fadali Solution Manual Doc254405506 Yl4zeyw558qr

Best Digital Control Systems Documents Scribd

Best Digital Control Systems Documents Scribd

2

2

Solutions Manual Digital Control System Analysis Design 4 E Charles L Phillips Troy Nagle Aranya Chakrabortty X4e6xdr6v9n3

Solutions Manual Digital Control System Analysis Design 4 E Charles L Phillips Troy Nagle Aranya Chakrabortty X4e6xdr6v9n3

Digital Control System Analysis And Design 3rd Edition Solution Manual Captions Beautiful

Digital Control System Analysis And Design 3rd Edition Solution Manual Captions Beautiful

9781292061221 Digital Control System Analysis Design Abebooks 1292061227

9781292061221 Digital Control System Analysis Design Abebooks 1292061227

Digital Control System Analysis And Design 3rd Edition Solution Manual Captions Beautiful

Digital Control System Analysis And Design 3rd Edition Solution Manual Captions Beautiful

Chapter 6 2 Solutions Digital Control System Analysis Design 4th Edition Chegg Com

Chapter 6 2 Solutions Digital Control System Analysis Design 4th Edition Chegg Com

Solution Manual For Digital Control System Analysis And Design 4th Edition By Phillips

Solution Manual For Digital Control System Analysis And Design 4th Edition By Phillips

Cost Control Engineering Books Pdf Collegelearners Com

Cost Control Engineering Books Pdf Collegelearners Com

Digital Control System Analysis And Design 4th Edition Solution Manual Pdf

Digital Control System Analysis And Design 4th Edition Solution Manual Pdf

Digital Control Engineering 2nd Edition Fadali Solutions Manual By Huffman Issuu

Digital Control Engineering 2nd Edition Fadali Solutions Manual By Huffman Issuu

Solution Digital Control System Analysis And Design 3e Charles Philips Troy Nagle Pdf Txt

Solution Digital Control System Analysis And Design 3e Charles Philips Troy Nagle Pdf Txt

2

2

Solution Digital Control System Analysis And Design 3e Charles Philips Troy Nagle Pdf Txt

Solution Digital Control System Analysis And Design 3e Charles Philips Troy Nagle Pdf Txt

Digital Control System Analysis And Design Pdf Free Download Lekavigoo S Ownd

Digital Control System Analysis And Design Pdf Free Download Lekavigoo S Ownd

Pdfcoffee Com

Pdfcoffee Com

Analog And Digital Control System Design Chen Chen Em Ingles Para Controle Docsity

Analog And Digital Control System Design Chen Chen Em Ingles Para Controle Docsity

Solutions Manual Pdf Solutions Manual Digital Control System Analysis Design 4th Edition Charles L Phillips Troy Nagle Aranya Chakrabortty Instant Course Hero

Solutions Manual Pdf Solutions Manual Digital Control System Analysis Design 4th Edition Charles L Phillips Troy Nagle Aranya Chakrabortty Instant Course Hero

Solutions Manual Digital Control System Analysis Design 4 E Charles L Phillips Troy Nagle Aranya Chakrabortty X4e6xdr6v9n3

Solutions Manual Digital Control System Analysis Design 4 E Charles L Phillips Troy Nagle Aranya Chakrabortty X4e6xdr6v9n3

Solution Chen Linear System Chapter 4 Docsity

Solution Chen Linear System Chapter 4 Docsity

Digital Controle System Analysis And Design 3ed Solution Controle Ii

Digital Controle System Analysis And Design 3ed Solution Controle Ii

Ppt Digital Control System Analysis And Design Solution Manual Pdf Free Download

Ppt Digital Control System Analysis And Design Solution Manual Pdf Free Download

Solution Manual For Digital Control Engineering Analysis And Design 2 Nbsp Ed 9780123943910 0123943914 Dokumen Pub

Solution Manual For Digital Control Engineering Analysis And Design 2 Nbsp Ed 9780123943910 0123943914 Dokumen Pub

Debargha

Debargha

Solution Digital Control System Analysis And Design 3e Charles Philips Troy Nagle Pdf

Solution Digital Control System Analysis And Design 3e Charles Philips Troy Nagle Pdf

P22-1 a and the right-side rule is depicted in Fig.

The papers contained cover. Roth 2 Instructors Solution Manual -Discovering the Life Span by Robert S. Find this Pin and more on Solution Manual Dowload by Smtb44. ISBN 978-0-12-394391-0 hardback 1. - edition-phillips-solutions-manual CHAPTER 2 22-1. View Solutions-Manualpdf from EEE 481 at Arizona State University. Appropriate for a one semestertwo-quarter senior-level course in digital or discrete-time controlsThis best-selling text places emphasis on the practical aspects of designing and implementing digital control systems. This is the Solutions Manual Digital Control System Analysis Design 4E Charles L. DIGITAL CONTROL SYSTEM ANALYSIS AND DESIGN SOLUTION MANUAL Download file read online engineering fields make this volumeaccessible to students and indispensable for professionalengineers.


ISBN 978-0-12-394391-0 hardback 1. A Solution Manual is step by step solutions of end of chapter questions in the text book. All orders are placed anonymously. TJ223M53F33 2013 629809dc23 2012021488 British Library Cataloguing-in-Publication Data. Digital Control System Analysis Design 4e Instructor Manual. And Design 3rd Ed Charles L Phillips H Troy Nagle Ra Solution Manual Digital. The papers contained cover.

Post a Comment for "Digital Control System Analysis And Design Solution Manual"